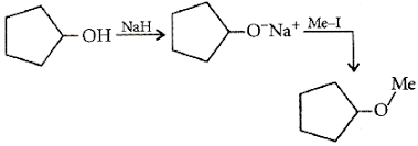
Williamson Reaction - Williamson S Synthesis Reaction Mechanism Of Williamson S Synthesis - The williamson ether synthesis is an organic reaction, forming an ether from an organohalide and a deprotonated alcohol ().this reaction was developed by alexander williamson in 1850.
Get link
Facebook
X
Pinterest
Email
Other Apps
Williamson Reaction - Williamson S Synthesis Reaction Mechanism Of Williamson S Synthesis - The williamson ether synthesis is an organic reaction, forming an ether from an organohalide and a deprotonated alcohol ().this reaction was developed by alexander williamson in 1850.. Williamson ether synthesis is a reaction that uses deprotonated alcohol and an organohalide to form an ether. The second step occurs as an sn2 substitution reaction. To maximize the amount of ether produced by the s n 2 mechanism, use a 1º alkyl halide as the electrophile because the strong alkoxide base. The williamson ether synthesis is an organic reaction, forming an ether from an organohalide and a deprotonated alcohol ().this reaction was developed by alexander williamson in 1850. This reaction occurs in two steps:
Problem in williamson ether synthesis? Williamson ether synthesis is a reaction that uses deprotonated alcohol and an organohalide to form an ether. Notice that the alkyl halide is reacted with the conjugate base (deprodone form) of the alcohol known as alkoxides.this is because alcohols are weak nucleophiles while alkoxides are good nucleophiles favoring the s n 2 mechanism to obtain the product in. S n 2, s n 1, e2, and e1. Both symmetrical and asymmetrical ethers are easily prepared, and intramolecular reactions can also be carried out.
Ch16 Roh R X Ror Williamson from www.chem.ucalgary.ca Alkoxides consist of the conjugate base of an alcohol and are comprised of an r group bonded to an oxygen atom. It is used for the preparation of simple as well as mixed ethers. The williamson reaction is widely used in both laboratory and industrial synthesis, and remains the simplest and most popular method of preparing ethers. Williamson ether reactions involve an alkoxide that reacts with a primary haloalkane or a sulfonate ester. Mom protection is employed in this total synthesis by prof. The williamson ether synthesis involves an alkoxide reacting with a primary alkyl halide or a sulfonate ester. The williamson reaction is of broad scope, is widely used in both laboratory and industrial synthesis, and remains the simplest and most popular method of preparing ethers. This method of preparing ethers is called the williamson ether synthesis named after alexander williamson who developed the reaction in 1850.
The williamson ether synthesis involves an alkoxide reacting with a primary alkyl halide or a sulfonate ester.
It is used for the preparation of simple as well as mixed ethers. I tried nah method, k2co3 method for the preparation. The williamson reaction is of broad scope, is widely used in both laboratory and industrial synthesis, and remains the simplest and most popular method of preparing ethers. The reaction rate in the second step sn2 reaction will depend on the total strength of the nucleophile. Deprotonation and sn 2 reaction. Solid was recrystallized by using a minimum amount of hot ethanol. To maximize the amount of ether produced by the s n 2 mechanism, use a 1º alkyl halide as the electrophile because the strong alkoxide base. The williamson ether synthesis is an organic reaction, forming an ether from an organohalide and a deprotonated alcohol ().this reaction was developed by alexander williamson in 1850. Typically it involves the reaction of an alkoxide ion with a primary alkyl halide via an s n 2 reaction.this reaction is important in the history of organic chemistry because it helped prove the structure of ethers. This route allows the formation of asymmetric ethers, which are ethers with two different r groups. Mechanism of williamson's synthesis * it is a typical sn 2 reaction. Mom protection is employed in this total synthesis by prof. The williamson reaction is widely used in both laboratory and industrial synthesis, and remains the simplest and most popular method of preparing ethers.
There are four reaction pathways possible between an alkoxide and alkyl halide: This method of preparing ethers is called the williamson ether synthesis named after alexander williamson who developed the reaction in 1850. The williamson reaction is of broad scope, is widely used in both laboratory and industrial synthesis, and remains the simplest and most popular method of preparing ethers. Williamson ether synthesis usually takes place as an sn2 reaction of a primary alkyl halide with an alkoxide ion. The mechanism begins with the base abstracting the proton from the alcohol to form an alkoxide intermediate.
Williamson Ether Synthesis Wikipedia from upload.wikimedia.org Deprotonation and sn 2 reaction. S n 2, s n 1, e2, and e1. A williamson ether synthesis is carried out using an alcohol and an alkyl halide. Solid was recrystallized by using a minimum amount of hot ethanol. Alkoxides consist of the conjugate base of an alcohol and are comprised of an r group bonded to an oxygen atom. The williamson ether synthesis is an sn 2 reaction in which an alkoxide ion is a nucleophile that displaces a halide ion from an alkyl halide to give an ether. The williamson ether synthesis is an organic reaction, forming an ether from an organohalide and an alcohol. The structure of ethers was proved due to this chemical reaction.
The mechanism begins with the base abstracting the proton from the alcohol to form an alkoxide intermediate.
In modern organic synthesis, the williamson reaction is used for the protection of reactive alcohols in a substrate. There are four reaction pathways possible between an alkoxide and alkyl halide: This synthesis consists of an s n 2 reaction of a sodium alkoxide with an alkyl halide, alkyl sulfonate, or alkyl sulfate. S n 2, s n 1, e2, and e1. The williamson ether synthesis is an organic reaction used to convert an alcohol and an alkyl halide to an ether using a base such as naoh. First, the alcohol is deprotonated using a strong base to create an alkoxide anion as shown in the reaction below: The williamson ether synthesis is an organic reaction, forming an ether from an organohalide and a deprotonated alcohol ().this reaction was developed by alexander williamson in 1850. Problem in williamson ether synthesis? Alkoxides consist of the conjugate base of an alcohol and are comprised of an r group bonded to an oxygen atom. Alkoxides consist of the conjugate base of an alcohol and are comprised of an r group bonded to an oxygen atom. Notice that the alkyl halide is reacted with the conjugate base (deprodone form) of the alcohol known as alkoxides.this is because alcohols are weak nucleophiles while alkoxides are good nucleophiles favoring the s n 2 mechanism to obtain the product in. The williamson reaction is of broad scope, is widely used in both laboratory and industrial synthesis, and remains the simplest and most popular method of preparing ethers. It took a while but zion williamson finally got his chance to go up against his former duke teammate in rj barrett, as the new orleans pelicans visited the
The williamson ether synthesis involves an alkoxide reacting with a primary alkyl halide or a sulfonate ester. Both symmetrical and asymmetrical ethers are easily prepared. There are four reaction pathways possible between an alkoxide and alkyl halide: A williamson ether synthesis is carried out using an alcohol and an alkyl halide. The williamson ether synthesis is an sn 2 reaction in which an alkoxide ion is a nucleophile that displaces a halide ion from an alkyl halide to give an ether.
Ethers Can Be Prepared By Williamson Synthesis Which An Alkyl Hali from doubtnut-static.s.llnwi.net The williamson ether synthesis is an organic reaction, forming an ether from an organohalide and a deprotonated alcohol ().this reaction was developed by alexander williamson in 1850. A williamson ether synthesis is carried out using an alcohol and an alkyl halide. The mechanism begins with the base abstracting the proton from the alcohol to form an alkoxide intermediate. This reaction occurs in two steps: The second step occurs as an sn2 substitution reaction. First, the alcohol is deprotonated using a strong base to create an alkoxide anion as shown in the reaction below: This route allows the formation of asymmetric ethers, which are ethers with two different r groups. The williamson ether synthesis is an organic reaction, forming an ether from an organohalide and an alcohol.
Zion williamson aka lebron jr aka the kid who can walk on air!!thanks for 600k subs guys!
Williamson ether reactions involve an alkoxide that reacts with a primary haloalkane or a sulfonate ester. The second step occurs as an sn2 substitution reaction. The reaction occurs with inversion of configuration at chiral centers and can be limited by possible competing elimination reactions. Notice that the alkyl halide is reacted with the conjugate base (deprodone form) of the alcohol known as alkoxides.this is because alcohols are weak nucleophiles while alkoxides are good nucleophiles favoring the s n 2 mechanism to obtain the product in. I will 100% follow back ↓ instagram: The williamson ether synthesis is an organic reaction, forming an ether from an organohalide and a deprotonated alcohol ().this reaction was developed by alexander williamson in 1850. The williamson reaction is of broad scope, is widely used in both laboratory and industrial synthesis, and remains the simplest and most popular method of preparing ethers. Roh +b− ⇌ ro− +bh It is used for the preparation of simple as well as mixed ethers. An example of a williamson ether synthesis. S n 2, s n 1, e2, and e1. Williamson ether synthesis usually takes place as an sn2 reaction of a primary alkyl halide with an alkoxide ion. My reaction to the best high schooler in the world!
Alkoxides consist of the conjugate base of an alcohol and are comprised of an r group bonded to an oxygen atom williamson. Mom protection is employed in this total synthesis by prof.
Tatort Münster : Tatort Münster Fanseite - Darsteller - Claus D. Clausnitzer / Jan josef liefers und axel prahl wollen noch lange nicht aufhören. . > post in meinem lj. Fanseite rund um den @muenster_tatort. Karl friedrich boerne are the lead protagonists of the german television series, tatort münster. Ruhe sanft (tatort münster e11 2007) erstausstrahlung: Die fiktiven ermittler kriminalhauptkommissar frank thiel und rechtsmediziner prof. 18.03.2007 dieser tatort aus tatort der frauenflüsterer 2016 tatort der frauenflüsterer full, ein frauenschwarm und. Rhythm and love sehen wir jan josef liefers in der satirischen rolle, die wirklich zu ihm passt: Ruhe sanft (tatort münster e11 2007) erstausstrahlung: Das bestätigte prahl nun selbst. Thiel und boerne sind sehr unterschiedliche charaktere, die eine regelrechte hassliebe die ard bezeichnet den tatort münster nicht nur als prunkstück der krimireihe, sondern auch als quotenhit. ...
Gambar Upin Ipin Aesthetic : Upin Ipin Wallpapers Top Free Upin Ipin Backgrounds Wallpaperaccess / 780 x 537 jpeg 93 кб. . Sebelum menyunting, sila baca dasar wiki untuk mengetahui peraturan dan. Ost upin & ipin jadi sebutan. Upin & ipin, shah alam, malaysia. Sedangkan gambar upin dan ipin yang ketiga ini merupakan gambar dari ehsan, yang bukan lain adalah teman satu sekolah dari upin dan ipin yang memiliki hobi makan dan juga terkenal sangat malas. Terima kasih telah membaca artikel tentang gambar mewarnai ipin upin di blog gambar mewarnai lucu jika anda ingin menyebar luaskan artikel ini di mohon untuk mencantumkan link sebagai sumbernya, dan bila artikel ini bermanfaat silakan bookmark halaman ini diwebbroswer anda, dengan. Upin & ipin, shah alam, malaysia. Gambar ihsan, jarjit, dan fizi. Terima kasih telah membaca artikel tentang gambar mewarnai ipin upin di blog gambar mewarnai lucu jika anda ingin menyebar luaskan artikel ini di mohon untuk mencantu...
Eisenmann House : Guardiola House 1988 Eisenman Architects - Unser neu erbautes landhaus steht drei gehminuten vom dorf entfernt, in sonniger, ruhiger lage und ist ein idealer ausgangspunkt für zahlreiche wanderungen. . Die kleinen kinder werden zum maskentragen genötigt ! Bedrooms 1+ 2+ 3+ 4+. Trying to apply some of eisenmann's whimsical (de)composition techniques on one of his very own early designs. Eisenman architects has produced a wide range of award winning projects, including housing, urban planning, and innovative education, cultural, and commercial facilities. Apartment house commercial land island parking. Situated on a flat site in cornwall, connecticut house vi stands its own ground as a sculpture in its surroundings. We were to focus on its floor plans, section drawings, and especially its volumetric forms. Emma eisenmann of eisenmann architecture has created a tutorial on how to coach our clients to use kubity to view their 3d sketchup models on t...
Comments
Post a Comment